
GB/T453-2002纸张检测仪器/纸和纸板抗纸强度的测定法(免费下载)
(恒速加荷法)纸张检测仪器
前言
本标准是对GB/T 453-1989《纸和纸板抗张强度的测定法(恒速加荷法)的修订。
本标准等同采用ISO 1924-1:1992《纸和纸板— 抗张强度的测定— 第 1部分:恒速加荷法》。
本标准自实施之日起,同时代替GB/T 453-19890
本标准的附录A为标准的附录。
本标准由中国轻工业联合会提出。
本标准由全国造纸工业标准化技术委员会归口。
本标准起草单位:中国制浆造纸研究院。
本标准主要起草人:陈曦、李兰芬、王华佳、宋川。
本标准首 次发布于1960年,第一次修订于1964年,第二次修订于1979年,第三次修订于1989年。
本标准委托全国造纸工业标准化技术委员会负责解释。
ISO 前 言
ISO(国际标准化组织)是国家标准团体(ISO成员)的一个世界性联合会。通常国际标准的制定工作由ISO技术委员会进行。对某个技术委员会确定的项目感兴趣的每一成员都有权派代表参加该技术委员会,无论是官方的和非官方的国际组织,只要与ISO有联系,同样可以参加该项工作。ISO与IEC(国际电工委员会)在电工标准方面密切合作。
技术委员会采纳的国际标准草案在IS()委员会承认为国际标准之前要经过各成员的投票。要求至少应有75%的成员投赞成票。
ISO192 4-1是由ISO/TC6纸、纸板和纸浆技术委员会SC2:纸和纸板的试验方法和质量规范分委员会编写的。
ISO192 4《纸和纸板一 一抗张性能的测定》,由下列部分组成:
一第 一 部分:恒速加荷法
—第 二 部分:恒速伸长法
附 录 A 是ISO 1924的不可缺少的一部分。
第 二 版 本代替第一版本((ISO 1924-1:1983),它是一个专业化的章程修订版。
1 范围
本标准规定了用符合本标准要求的抗张强度试验仪测定抗张强度、伸长率及抗张指数的方法。
本标准适用于除瓦楞纸板外的所有纸和纸板。
2 引用标准
下列标准所包含的条文,通过在本标准中引用而构成为本标准的条文。本标准出版时,所示版本均为有效。所有标准都会被修订,使用本标准的各方应探讨使用下列标准最新版本的可能性。
GB /T 4 50---2002 纸和纸板试样的采取(eqvI SO 186:1994)
GB /T 1 0739-2002 纸、纸板和纸浆试样处理和试验的标准大气条件(eqvISO187:1990)
3 原理
抗张强度试验仪在恒速加荷的条件下,将规定尺寸的试样拉伸至断裂,测量其抗张力,同时记录断裂时的最大伸长率。
4 定义
本标准采用下列定义。
4.1 抗张强度tensile strength
纸或纸板所能承受的最大张力。
4.2 裂断长breaking length
宽度一致的纸条本身质量将纸断裂时所需要的长度。它是由抗张强度和恒湿后的试样定量计算出来的。
4.3 伸长率stretch at break
纸或纸板受到张力至断裂时的伸长,以对原试样长的百分率表示。
4.4 抗张指数tensile index
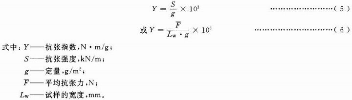
抗张强度除以定量,以牛顿米/克表示。
5 仪器
抗张强度试验仪应能在规定的恒速加荷下作用于试样,测定试样的抗张强度和伸长率。抗张强度试验仪应包括:
5.1 测量和记录装置
断裂时抗张力的精度应达士1%,伸长的读数精度应为士0.5 m m。抗张强度试验仪的有效测定范围应在总量程的2000^'90%之间。
注 :伸长率低于2%的纸张,如果采用摆锤式试验仪测定伸长率不精确,应采用带有电子放大器和记录仪的恒速伸长仪器 。
5.2 加荷速度的调节
调节加荷速率,应使试样在(20士5)s 内断裂。
注 :为了满足加荷速率的变化应不大于5%的要求,摆锤式仪器不应在摆角大于50。的情况下操作。
5.3 两个试样夹
应将试样的整个宽度夹紧,不应滑动和损坏试样。夹子的中心线应与试样的中心线同轴,其夹紧作用力的方向应与试样长度方向保持士1。的垂直。两夹子夹纸的表面或夹线应保持士1“的平行。
5.4 两夹子间距
两夹子的间距是可调的,应调到所要求的试验长度值,但误差不应超过士1.0mm。
6 试样的采取和制备
6.1 试样的采取应按GB/T 450进行。
6.2 在距样品边缘15 mm以外处,一次切取足够数量的试样,以保证纵横向各有10个有效的数据。试样不应有影响强度的纸病。
试样的两个边是平直的,其平行度应在0.1 m m之内,切口应整齐且无任何损伤。
注: 当切 取软薄页纸时 ,可用较硬的纸夹起样品进行切取。
6.3 试样尺寸
a)试样的宽度应为(15土+0.2-0.1)mm,如采用其他宽度应在试验报告中注明;
b) 试样应有足够的长度,以确保夹试样时不会触及夹问的试样。通常试样的最短长度为250m m,实验室手抄纸页应按其标准规定进行切取。试验时夹距应为180 mm,如采用其他夹距长度时,应在试验报告中注明。
7 试样温湿处理
试 样 应 按 GB/T 10739进行温湿处理。
8 试验步骤
8.1 仪器的校准和调整
按说明书安装仪器,按附录A校准仪器测力机构。如需要,还应校准伸长测量机构。按5.2调整加荷速度。
调整夹子的负荷,在试验过程中,试验纸条应既不滑动又不受损伤。
将适当的祛码夹在夹子上,祛码带动加荷指示装置记录其读数。检验指示机构时,指示机构不应有过大的反撞、滞后或摩擦,如误差大于1%,应作修正曲线。
8.2 测量
在试样温湿处理的标准大气条件下进行试验。
检验测量 机构和记录装置的零位及前后水平。
调整上、下夹子间的距离,将试样夹在夹子内,防止用手接触夹子间的试验面积。在试样上施加约98mN(10g)的预张力,使试样垂直地夹在两夹子间。
先做预测试验,求出试样在(20士5)s 内断裂的加荷速度。
从开始测定到试样断裂时为止,应记录所施加的最大作用力。需要时,应记录断裂时的伸长率。
纸和纸板的每个方向应至少测定10条,这10条的结果应均有效。如距夹子10m m以内断裂者,应舍弃不记。
9 结果计算
9.1 结果表示
分别计算和表示纸和纸板纵、横向所得的结果,实验室手抄纸页没有方向的区别。
9.2 抗张强度
9.2.1 按式(1)计算抗张强度(S),取三位有效数字。

式中:
S— 抗张强度,kN/m;
F— 平均抗张力,N;
LW— 试样的宽度,mm;
注:低定量纸,如薄页纸用牛顿/米表示为宜。
9.2.2 计算结果的标准偏差。
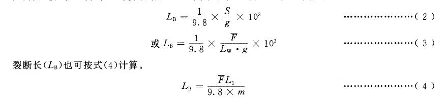
9.3 裂断长
如需要,按式(2)或式(3)计算裂断长(LB),用千米表示,并取三位有效数字。

式中:
LB—裂断长,km;
F— 平均抗张力,N;
S— 抗张强度,kN/m;
9— 定量,g /m2;
Lw—试样的宽度,MM;
L1— 夹子间初始长度,MM;
m— 夹子间试样的平均质量,Mg.
9.4 抗张指数应按式(5)或式(6)计算,并取三位有效数字。

9.5 断裂时伸长率
9.5.1 如需要,计算试样的平均断裂伸长,以毫米表示。然后计算断裂时伸长对开始拉伸以前试样长度的百分数,即伸长率。结果精确至一位小数。
9.5.2 计算结果的标准偏差。
10 精密度
试验精密度的规定见表1.

11 试验报告
试验报告应包括下列内容:
a)本标准号;
b) 所用的温湿处理条件;
c)所测定纸和纸板的方向;
d) 所测定试样的宽度和长度;
e) 测定时的拉伸时间;
f) 平均抗张强度;
9)如要求,应报告裂断长、抗张指数;
h)如要求,应报告断裂时的平均伸长率;
1)如要求,应报告抗张强度、断裂时伸长率、裂断长的标准偏差;
i)与本 标准的任何偏离。
附 录 A
(标准的附录)
仪器的校准
A1 用重陀校准仪器的测量作用力部件,用精度0.1%的硅码校准仪器的测力机构。如果使用记录装置,也应进行校准。
A2 分别计算施加祛码质量所产生的力,以及由自由落体加速度所产生的力。
A3 在所要测量的力的范围内,用游标卡尺校准仪器的测量伸长机构,如果使用记录装置,也应进行校准。
A4 应对力和伸长测量机构的全量程校准几个点,以确保仪器的线性误差达标。